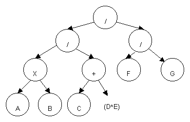
Step 1 : convert to full bracketed form (remember the precedence rule and assosciativity of operators)

[(A x B) / (C+(D^E))] / (F ^ G)

 

Step 2 : Draw tree based on infix (bracketed form)







FINAL ANSWER

back