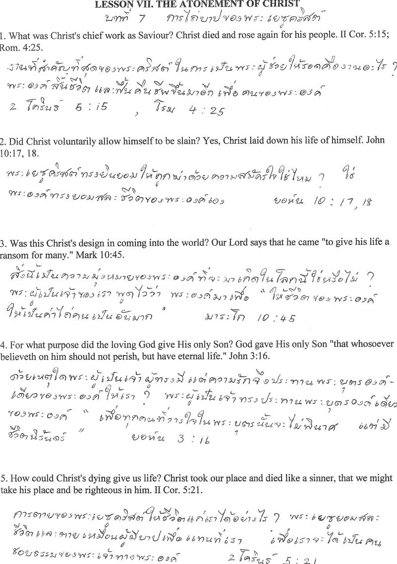
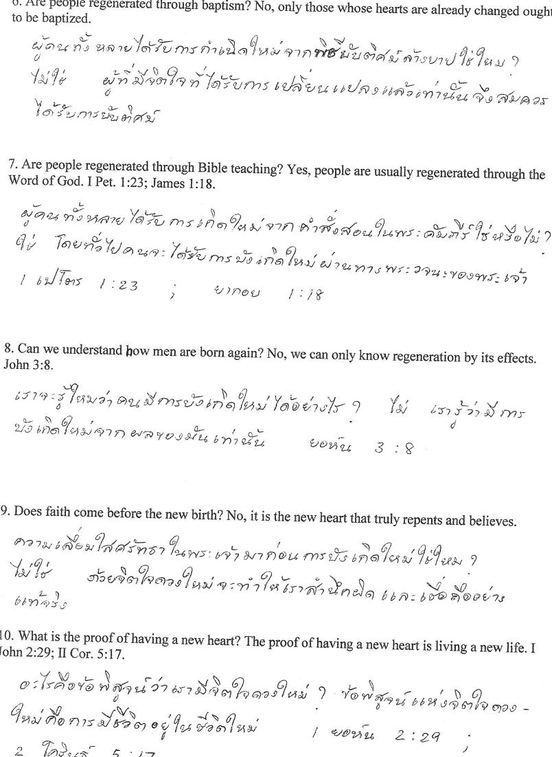
Baptist History Homepage

John A. Broadus' Catechism of Bible Teaching
In English and Thai Languages — Lessons 7-12.













Next



John A. Broadus Index
Baptist History Homepage