Progressões Aritméticas
Progressão aritmética é uma sequência numérica na qual, a partir do segundo, cada termo é igual à soma de seu antecessor com uma constante, denominada razão.

![]()
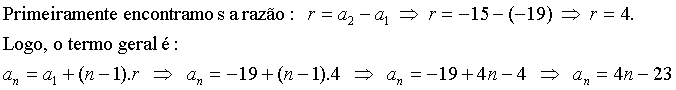
Logo abaixo temos alguns exercícios de progressões aritméticas resolvidos.

Interpole seis meios aritméticos entre –8 e 13.

4) Calcule quantos números inteiros existem entre 13 e 247 que não são múltiplos de 3.

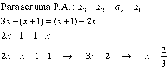
5) Encontre o valor de x para que a sequência (2x, x+1, 3x) seja uma progressão
aritmética.
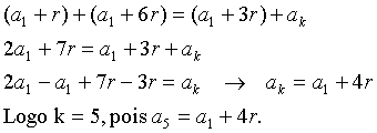
6) Numa progressão aritmética em que a2+a7=a4+ak, o valor de k é:

7) Se Sn é a soma dos n primeiros termos da progressão aritmética (-90,-86,-82,...) então o menor valor de n para que se tenha Sn>0 é:

8) A soma dos n primeiros números pares positivos é 132. Encontre o valor de n.