Figura 1

Figura 2

Estrutura de Dados  

Autor: Fabrício Olivetti de França

Data de criação: 23/08/1999

Data de última modificação: 28/12/1999

Assunto: Esse texto visa dar aos alunos de Engenharia e Ciências da Computação um suporte ao estudo de Estrutura de Dados. Este texto foi baseado no livro Estrutura de Dados em C++ e nas aulas de Estrutura de Dados. Não reproduza ou modifique este documento sem antes me contatar via e-mail (fabricioolivetti@yahoo.com.br).

 
  1. Tipos de Dado Abstrato (TDA)

 

    1. Definição:
    2. Um Tipo de Dado Abstrato é um dado não reconhecido pelo processador, e por isso, tendo que ser implementado pelo programador.

      Ao definir um tipo de dado abstrato não deve-se tomar em consideração a eficiência , pois isso é uma questão de implementação, e o TDA não se relaciona em nada com a implementação. Pode até acontecer de não se conseguir implementar um tipo de dado em um sistema de computador. Apesar disso, o TDA é uma técnica muito útil para os programadores que queiram usar certas propriedades matemáticas que não existam na linguagem que eles usam e/ou usar um tipo de dado de maneira correta.

      Um TDA é definido em duas partes: a definição de valores e de operadores. Por sua vez a definição de valores é sub dividido em duas partes: cláusula de definição e cláusula de condição.

      A cláusula de definição é a parte que define a estrutura do TDA, como ele é formado.

      A cláusula de condição define as condições para que o TDA exista.

      Na definição dos operadores é especificado quais são e como são feitas as operações entre esses tipos, é subdividido em duas partes: precondition: as condições iniciais e postcondition: a operação em si.

       

    3. Exemplos:

 

  1. Números Racionais:
  2. Consideremos os números racionais como nosso primeiro exemplo.

    Os números racionais são formados por dois números inteiros que formam uma fração. O inteiro de cima é chamado numerador e o de baixo denominador e se encontra na forma a/b.

    A cláusula de definição dos racionais é dado por:

    abstract typedef <int, int> RACIONAL;

    Ou seja, uma matriz de dois elementos, onde cada elemento é um inteiro. A cláusula de condição é que o segundo elemento (denominador) seja diferente de zero (senão diverge):

    condition RACIONAL[1] <> 0;

    Obs1.: Lembre-se que em C as matrizes e listas começam a contar do "0", assim o segundo elemento é o "1".

    Obs2.: "<>" é o sinal de "diferente de".

    Na definição de operação nós teremos a criação do tipo de dado (racional), soma de dois números racionais, multiplicação, e teste de igualdade:

    abstract RACIONAL cria_racional (int a, int b);

    precondition b <> 0;

    postcondition criaracional[0] = a; criaracional[1] = b;

    abstract RACIONAL soma (RACIONAL a, RACIONAL b);

    postcondition soma[1] = a[1] * b[1];

    soma[0] = a[0]*b[1] + b[0]*a[1];

    abstract RACIONAL mult (RACIONAL a, RACIONAL b);

    postcondition mult[0] = a[0] * b[0];

    mult[1] = a[1] * b[1];

    abstract RACIONAL equal(RACIONAL a, RACIONAL b);

    postcondition equal = (a[0]*b[1] == b[0]*a[1]);

     

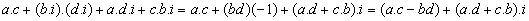
    Lembre-se: dois números racionais são iguais não só quando os numeradores e denominadores são iguais (Figura 1).

    Lembre-se também: na soma devemos fazer exatamente como soma de racionais (Figura 2).

     

      

     

     

  3. Números Complexos:

A estrutura dos números complexos é a seguinte: um número real formando a parte real e um número real como coeficiente da parte imaginária. A implementação é parecida com os números racionais, afinal será uma lista de dois números reais sem restrições.

abstract typedef <float, float> COMPLEXOS;

declarou-se dois números reais como complexos, nos casos dos complexos não há nenhuma restrição, portanto pularemos a diretiva condition.

abstract COMPLEXO cria_imaginario (float a, float b);

postcondition criaimaginariol[0] = a; criaimaginario[1] = b;

abstract COMPLEXO soma (COMPLEXO a, COMPLEXO b);

postcondition soma[0] = a[0] + b[0];

soma[1] = a[1] + b[1];

abstract COMPLEXO mult (COMPLEXO a, COMPLEXO b);

postcondition mult[0] = (a[0] * b[0]) – (a[1] * b[1]);

mult[1] = (a[0] * b[1]) + (a[1] * b[0]);

abstract COMPLEXO equal(COMPLEXO a, COMPLEXO b);

postcondition equal = (a[0] == b[0] && a[1] == b[1]);

Lembre-se: a multiplicação de números complexos é feito de forma distributiva.

Ex.:

No apêndice desse tutorial eu farei um estudo maior dos números complexos, como divisão, módulo, complemento, conversão de/para forma polar, trigonométrica.

  1. Recursividade

 

    1. Definição:
    2. Recursividade é um método de programação quando um programa, função ou procedimento chama a si mesmo, isso é útil para resolver vários métodos e funções matemáticas que depende do resultado anterior para obter o resultado. Exemplos do uso desses métodos são: fatorial, número de Fibonacci, Torre de Hanói, e muitos outros.

      Muitas linguagens permitem a implementação de recursividade, mas outras não permitem, exigindo uma simulação através do loop while (não discutiremos isso, pois não acho necessário, ficando como exercício).

       

    3. Exemplos:

 

  1. Fatorial:
  2. O Fatorial é uma função matemática definida por:

    0! = 1

    1! = 1

    2! = 1.2 = 1! . 2

    3! = 1.2.3 = 2! . 3

    4! = 1.2.3.4 = 3! . 4

    5! = 1.2.3.4.5 = 4! . 5

    ...

    n! = 1.2.3.4.5. ... .(n-1).(n) = (n-1)! . n

    É facilmente verificado que esta é uma função recursiva, pois repare que 3! = 2! . 3, 4! = 3! . 4 etc.. Ou seja, você tem que chamar a função fatorial novamente para o número anterior e assim sucessivamente até chegar no resultado final, até que chegue no zero quando o fatorial é 1 (hum).

    Implementando isso em C teremos:

    int Fatorial(int n)

    {

    int fatorial;

    If (n == 0) return (1);

    else {

    fatorial = Fatorial(n-1);

    return (fatorial*n);

    }

    }

     

  3. Torre de Hanói:

A Torre de Hanói consiste originalmente de três pinos (A, B, C) e cinco argolas que devemos passar para o pino C na mesma ordem usando o pino B como pino de trabalho e seguindo a única regra de que não se pode ter um pino em cima de um menor.

Suponha que você possa resolver a Torre de Hanói para 4 argolas, só que usando o pino B como destino e o C como trabalho, desta forma basta colocar a última argola no pino C e realizar a solução novamente para quatro argolas só que usando o pino C como destino e A como trabalho.

Aí que está a recursividade, pois para solucionarmos a solução de 4 argolas, basta saber a de três, para a de três basta a de duas, e para a de duas basta a de uma, que é apenas levar a argola para o destino.

Abaixo uma pequena ilustração do que dissemos:

O algoritmo é construído facilmente, como segue:

#include <stdio.h>

void main ( )

{

int n;

scanf ("%d", &n);

torre(n, ‘A’, ‘C’, ‘B’);

}

/* A funcao em si */

void torre(int n, char origem, char destino, char trabalho)

{

if (n == 1) {

/* se tiver um so pino e facil */

printf("\nmover disco 1 da estaca %c "para a estaca %c", origem, destino);

return;

}

torre(n-1, origem, trabalho, destino);

/* realiza a torre de hanoi para n-1 usando B como destino */

printf("\nmover disco %d da estaca %c para a estaca %c", n, origem, destino);

torre(n-1, trabalho, destino, origem)

/* realiza de novo n-1 mas usando C como destino e A como trabalho */

}

  1. Listas

 

    1. Sequenciais:
    2. Listas sequenciais são listas comuns, onde o próximo campo está logo após do campo atual, na memória, assim o acesso aos campos desta lista é feito direto, ou seja: Lista[número do campo].campo.Ex.: Lista[3].nome, acessa o campo nome na posição 3, quarto nome da lista (começa a contar do 0). Na linguagem C as listas começam a serem contadas do 0. As listas também tem que ter um tamanho pré-definido, essa é sua limitação.

      As operações básicas em uma lista são: Busca, Inserção, Remoção.

      Uma lista pode ser Lineares ou Circulares, Ordenada ou Não-ordenada.

      Abaixo está uma figura esquematizando uma lista sequencial:

       

    3. Exemplos:

 

  1. Lista Sequencial Linear Não-Ordenada:
  2. Busca: é feita comparando um a um os elementos até que se ache ou termine a lista. Retorna a posição em que se encontra o elemento procurado.

    Inserção: é verificado se a lista está cheia para não causar overflow, depois se o elemento não existe através da busca, e então é feita a inserção no final da lista.

    Remoção: é verificado se alista não está vazia para não causar underflow, depois se o elemento já existe e então é feita a remoção.

    int Busca (int x, int N, int n, int Lista[ ])

    {

    /* x = elemento procurado (deve-se mudar o tipo para outros tipos de elementos) N = tamanho da lista n = ultimo elemento da lista*/

    int i = 0;

    while (Lista[i] <> x) i++;

    if (Lista[i] <> x) i = -1;

    return (i);

    }

    void Insere(int x, int N, int n, int Lista[ ])

    {

    if (n < N) {

    int busca = Busca(x, N, n, Lista[ ]);

    if (busca == -1) Lista[n+1] = x;

    else printf("\nelemento já existe");

    }

    else printf("\nOverflow");

    return;

    }

    int Remove(int x, int N, int n, int Lista[ ])

    {

    int valor_recuperado = 0

    if (n >= 0) {

    int busca = Busca(x, N, n, Lista[ ]), valor_recuperado, i;

    if (busca <> -1) {

    valor_recuperado = Lista[busca];

    for (i = busca, i<n, i++) Lista[i] = Lista[i+1];

    }

    else printf("\nelemento não existe");

    }

    else printf("\nUnderflow");

    return (valor_recuperado);

    }

     

  3. Lista Sequencial Linear Ordenada:
  4. A diferença nessa lista é que na busca usaremos um algoritmo para tornar mais rápido a busca: a busca binária; e na inserção e teremos de colocar o elemento na ordem.

    A busca binária é feita através da lista dividida em duas, verifica-se o elemento do meio, como ela é ordenada, se o elemento for maior ele estará à direita senão estará à esquerda, então limitamos a lista no intervalo do meio até o extremo direito ou esquerda, dependendo do resultado da comparação.

    int inicio = 0

    */ inicio e declarado aqui para se tornar global e podermos usa-lo na insercao */

    int Busca-bin (int x, int N, int n, int Lista[ ])

    {

    int fim = n, meio, busca = -1;

    while (inicio <= fim) {

    meio = floor((inicio+fim)/2);

    if (Lista[meio] == x) {

    busca = meio;

    inicio = fim + 1;

    }

    else if (Lista[meio] < x) meio = floor ( (meio+1 + fim)/2);

    else meio = floor((meio-1+inicio)/2);

    }

    return (busca);

    }

    void Insere(int x, int N, int n, int Lista[ ])

    {

    if (n < N) {

    int busca = Busca-Bin(x, N, n, Lista[ ]);

    if (busca == -1) {

    temp = Lista[inicio];

    Lista[inicio] = x;

    for (i=inicio+1, i<n, i++){

    temp1 = Lista[i];

    Lista[i] = temp;

    Temp = temp1;

    }

    }

    else printf("\nelemento já existe");

    }

    else printf("\nOverflow");

    return;

    }

    A remoção é idêntica ao anterior.

     

  5. Lista Circular Ordenada:

Nesta lista devemos considerar dois ponteiros, um que aponta para o começo e outro para o fim, a subtração entre os dois ponteiros nos dá o tamanho da lista. A busca é aprecida com a binária, à não ser que ela é feita através dos ponteiros de começo e fim. Na inserção e remoção devemos tomar cuidado para ajustar os ponteiros ao final da operação.