i elevado à potência de i

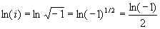
Para resolvermos esse problema devemos primeiro nos livrar dessa potência maluca, usando o logaritmo natural, lembrando que e fazemos: , agora teremos que descobrir quanto é ln(i), para isso usemos a definição de número imaginário que diz: então , mas temos outro problema, ln(-1) não existe para os números reais. Então vamos usar a definição do exponencial: , ou seja: , então , agora teremos: .