
|
|
< Prev. Page < |
|
|
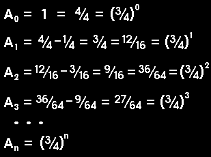
| Brief Explaination: | Area Calculations: |
| Start with any triangle,
and include its interior.
Create an inner triangle by connecting the mid-points of the original triangle's sides, and remove the inner triangle's interior. Do the same to each of the 3 remaining triangles, removing their inner triangles' interiors. Do the same to each of the 9 remaining triangles, removing their inner triangles' interiors. Continue this process. Notice that with each step, the area is reduced to 3/4 of the previous step's area. |
![]() |
First Published: June
10, 2003
By: xStatProf | Home
| Email |