|
The Theory of the Time-Energy Relationship: A Scientific Treatise |
3
THE SPECIAL THEORY OF RELATIVITY
I want to talk a little bit about the way Einstein derived some of his equations for relativity. Here, I am not going to say that he was wrong-perhaps his methods were a little questionable but he still got quite a few right answers. His theories, of course, have been proved, to some degree, by experimental evidence, but there are still large conflicts between the Theory of Relativity and the Quantum Theory (Quantum ElectroDynamics [QED] notwithstanding).
There will be a few equations here, but, as I have said before, I will explain them along the way and include plenty of nice pictures to help illustrate what they mean. If you are the scientific sort, you can check my work as we go.
Now, there were some 200-300 years between the time when Sir Isaac Newton first developed the calculus† and the laws of motion and the time when Einstein came along and challenged those laws. During those years, there were many other physicists and mathematicians who took those basic laws and developed some fairly complex means of understanding the behavior of mechanical things, such as a spinning top or the motion of the earth around the sun.
|
† Newton and Leibniz There is, and has been for a long time, some contention about who originally developed the calculus. Newton was accused of stealing his ideas from another mathematician by the name of Gottfried Wilhelm Leibniz. Leibniz, expecting a fair hearing, challenged Newton on the issue and took his case to the Royal Society which, unbenounced to Leibniz, happened to be headed by none other than Newton, himself. Newton, however, had no intention of playing fair, and formed the board of inquiry of people of his own choosing, and then proceeded to head the board. In the end, Newton declared himself the rightful discoverer. Leibniz, meanwhile, whose name now remains fairly obscure, had no recourse, since he had agreed to abide by the board's ruling. |
But also during those years, there were other scientists (physicists and mathematicians) doing experiments with electricity and magnetism and developing rules and laws for this sort of thing. They, of course, were able to use quite a few of the mathematical and mechanical laws developed by Newton and other scientists to help them solve problems concerning electric and magnetic fields.
By the end of the 19th century, many facets of physics and science were fairly understood, and many scientists believed that there was really very little left to be discovered. All of physics would be completely finished within the next few years and everything physical in the universe would be known.
Then Einstein came along (and Quantum Mechanics- which I will discuss shortly) and changed the way we look at everything. Now, we have examined some of this in an earlier chapter, but did not go into very much detail, then-here, we must and will.
There is, even to this day, some question as to whether Einstein knew of the Michelson-Morley experiment when he wrote his original papers. He, himself, claims not to have known about it1, but subsequent writings of his make mention of it and cite it as sufficient reason to question the "status quo" (referring to Newton's laws of motion).
|
1. Indeed, some of his early (written) works cite the astronomical phenomenon known as spherical aberration, in which distant stars aligned on the axis of the Earth's orbit, when observed through a telescope at different times of the year, will appear to be slightly "out of place" in the heavens. The angular difference is exceptionally small, but measurable, and is explained by Einstein as the result of the relativistic motion of the Earth in its orbit about the Sun. |
I do not wish to repeat his arguments verbatim (especially since they are already written in another book), but since they are rather difficult to follow, I will render a simplified version of it.
The Special Theory of Relativity
The Special Theory of Relativity is built upon the principle of the constancy of the speed of light in a vacuum-no matter what the frame of reference. This is to say in particular, that if two observers, one moving and one stationary, were to measure the velocity of a beam of light, no matter whether the source of the beam is moving or not, both observers will measure the value c (the speed of light). This was the result of the Michelson-Morley experiment (or, at least, what was inferred from it).
Einstein used the concept of simultaneity ("simultaneous" events) to get his idea across. Before he could attack this problem, he had to define what was meant by the "synchronicity" of clocks-that is-what made two clocks synchronous. It is, in fact, somewhat difficult to deal with this concept, but here is how it goes;

Figure 3.1
A ray of light moving between two clocks defines synchronicity of the clocks.Suppose that there are two clocks in space at points A and B, separated by some distance "l," which we shall call the length of the distance between them. Next, suppose that a ray of light leaves the first clock at time tA, which is the time read on a clock at point A. At time tB, the ray of light strikes a mirror located next to another clock at point B and is reflected back towards point A. The ray of light then returns to point A at time tA', as read on the clock at point A2.
|
2. We assume in this experiment that there are devices located at points A and B which will instantly and accurately register the times at which light rays leave and/or arrive at their respective positions. |
He resolved the problem of synchronicity in the following manner; If the times required for the light beam to go and then return, as read on the clocks, are equal, those clocks are said to be synchronous. For example, suppose that clock A reads 1:00 o'clock when the light ray leaves it. Then the clock at B receives (and reflects) the light at 2:00, and the light ray finally returns to A at 3:00 o'clock.
We can (and Einstein did) write an equation which defines synchronicity. If
tB - tA = tA' - tB (3.1)
then the two clocks are said to be synchronous. In our example
tA = 1:00 o'clock
tB = 2:00 o'clock
and tA'= 3:00 o'clock
so that
2:00 - 1:00 = 3:00 - 2:00 = 1 hour.
Therefore, the two clocks in this example are synchronous. Suppose then, that the clock at tb read 1:30 instead of 2:00; then the equation would look like this
1:30 - 1:00 = 0:30 and 3:00 - 1:30 = 1:30
and 0:30 ¹ 1:30
which would mean that the clocks are not synchronous. This was Einstein's definition of synchronicity. From this definition, we may now examine certain problems with the understanding of classical phenomena-particularly problems with motion and Newton's laws.
Suppose that there is a rod of length "l" as measured in the stationary (non-moving) reference frame. Next, a linear (straight-line non-accelerating) motion is imparted to this rod with a velocity, "v." For this experiment, there will be two observers: one stationary and one moving with the rod. There are three clocks, one on each end of the rod and one at the origin of the motion (which will be the origin of the measurement), which is stationary. All three clocks are said to be synchronized (according to the previous definition) in the non-moving reference frame.
Now, we will make two sets of measurements; one set will be made by the observer in the moving frame and the other by the observer in the stationary frame.
In the first set the rod has a specific motion with a constant velocity, v. As the "A" end of the rod leaves the origin (starting point) of the experiment, the clock at A is read at time tA and a ray of light leaves point A to go to point B. At time tB, the ray of light reaches the clock at point B and is reflected back to point A. The ray of light reaches point A at time ta'-all this to be measured by the observer in the moving frame. Note however, that in the periods between these measurements, the rod (and observer) have moved and, as such, points A and B have also moved by the times they are measured at times tB and tA' (see Figure 3.2).

Figure 3.2
A light ray following a moving rod is measured to determine if synchronicity is always correct.Now, if we want to determine these time intervals by measuring the distance that the beam of light had to travel, we know that, from the stationary observer's viewpoint, the beam of light had to travel the distance of the rod plus the distance that the rod traveled in that time. We will use a simple algebraic construct known as the distance formula to solve this problem
D = rt
(3.2)where D is the distance traveled,
r is the rate, or speed,
and t is the elapsed time.
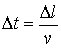
Rarely, however, is this form actually used in the calculus or physics. Scientists like to flip it around a little bit and call D the distance or Δl, which we know as "the change in distance," r, known as the "rate," which we like to call v, for the velocity, and instead of calling the time "t," we call it Δt for the "change in time." The distance equation written in its more useful form is
(3.3)
where v is the velocity,
Δl is the distance traveled,
and Δt is the time interval.
Now we can rewrite Equation 3.3 in a form which better suits our needs-that is-to calculate the amount of time it has taken the beam of light to travel each way. First, we flip it around a little to get it into the form we need
(3.3)
which we then write as two separate equations, below
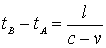
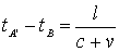
(3.4)
(3.5)
where tA, tB, tA', l and c are as previously described,
x1 is the distance the rod travels in the first interval
and x2 is the distance the rod travels in the second interval.
Now we can write the calculations for the distances x1 and x2 also using Equation 3.1 above as
x
1 = v(tB - tA) and x2 = v(tA' - tB) (3.6)Rewriting Equations 3.4 and 3.5 using these substitutions, we get
(3.7)
and
(3.8)
Fooling around with these two equations and moving things around a little will give us two new equations
(3.9)
and
(3.10)
Of course, as one can easily see, setting the left sides of these two equations equal to each other is the definition of synchronicity-which means that we can also set the right sides of these two equations equal to each other. Doing so, we get
(3.11)
which immediately resolves into
v
= -v (3.12)which may be true only when v = 0. So this means that, for any velocity of the rod greater than zero relative to the stationary observer, the synchronicity of the clocks is lost.
This, of course, did not quite match up with the classical view of electrodynamics or, for that matter, the mechanical view of things. Einstein sought to find a set of transformation variables between the moving and stationary coordinate systems. These would be determined in standard cartesian coordinates with an additional coordinate for time (x,y,z,t), since, now, time would be a part of this problem.
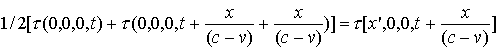
For the observers moving with the rod, we do not know exactly what their time measurements were (as stationary observers). But given the constancy of the speed of light, no matter what the reference frame, we may conclude that the time required for the light to go from point A to point B would be equal to the time required for the light to go from point B to point A as it returned. Considering that we cannot use "stationary" time to make these measurements, we are bound to look for a means to determine what those measurements would be. We will use the symbol "τ" (as Einstein did) to represent the time interval in the moving system so that at time τ0, a beam of light leaves point A on the rod, is reflected at point B at time τ1 and returns to point A at time τ2. Then, given the constancy of the velocity of light in the moving frame and what we have stated above, we can write an equation to relate these time intervals in the moving frame, which is
1/2(
τ0 + τ2) = τ1 (3.13)As an example of this, suppose that, in the moving frame, the observers in the moving frame noted that a ray of light left point A at time τ0 = 1:00 o'clock, arrived at point
B and was reflected back at time τ1 = 2:00 o'clock, then finally arrived back at point A at time τ2 = 3:00 o'clock. Equation 3.13, above, with these values, preserving the rule of synchronicity and the constancy of the velocity of light, would look like this
1/2(3:00 + 1:00) = 2:00
which is correct, but only for the observers in the moving frame.
So now there are two sets of equations and each is correct within its own reference frame, but neither of them are correct for the other. Einstein decided to write a relationship between the two frames, but realized that, between these two frames, nothing, including the time variable itself, remained the same.
He solved this problem using a method of coordinate transformations. At this point, I do not wish to go into this subject, first of all because it is not necessary and secondly because the subject, itself, would require at least a chapter's worth of explaining. Suffice it to say that, using a functional coordinate transformation, Einstein came up with the following formula
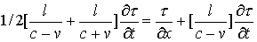
1/2[
τ0(x0,y0,z0,t0) + τ2(x2,y2,z2,t2)] = τ1(x1,y1,z1,t1) (3.14)which is Equation 3.13 in its functional form. Noting that there is no motion in the y and z directions3 and plugging in the values for coordinates xn and tn (where the n's are the numbers 0, 1 and 2 for the specific measurements), we get the following coordinate transformation formula
(3.15)
|
3. In his treatise on this, Einstein had the rod moving in the x-direction and placed the moving rod within two sets of cartesian coordinate systems-one stationary and one moving. For ease of reading, I have removed the two coordinate systems from the discussion, but must now return them in order to show the method he used for solving this formula. |
In order to solve this formula, Einstein needed to use the calculus of differential equations. Specifically, he allowed the value of x' to become infinitesimally small-that is to say that, he allowed its limit to approach zero. We want to understand how he did this, but before this can be done, the concept of a limit must be understood.
When I speak of limits, I am referring to a tool of the calculus which is used to define certain special operations. For example, if a man stood a distance, say, ten feet away, from a wall, and then decided to cut that distance in half by moving towards the wall, he would then be five feet from it. If he cut the distance in half again, he would then be two and a half feet from the wall. If we name a variable for the number of times the distance gets split and call it "N", then how close he would be to the wall would depend on the number of splits, N, made. For each successive split, the man comes closer to the wall. Note, however, that no matter how many splits the man makes, he can never actually touch the wall. If, however, we "take the limit as N goes to infinity", then the man comes so close to the wall that, for all practical (and mathematical) purposes, his distance from the wall "becomes" zero (it never, however, actually has the absolute value of zero). The limit of this value, as properly defined, is zero.
When Einstein allowed the value of x' to approach zero, he rewrote the formula above as the following differential equation
(3.16)
Moving things around and simplifying, this becomes the following solvable, linear differential equation
(3.17)
Solving this differential equation, we get
(3.18)
where "a" is a function later to be found as having the value of 1 (one), giving us the following equation for τ
(3.19)
If we write new cartesian coordinates in the moving system as X, Y, Z, and τ, we see that we can find transformations between the moving and stationary systems for each of the coordinates. Applying certain boundary conditions (skip this phrase if you do not understand it, because it is not important to know what it means), Einstein arrived at the following set of transformations
τ
= β(t-vx/c2)X =
β(x-vt)Y = y
Z = z
where
(3.20)
which, "amazingly," turns about to be the Lorentz transformation (Equation 2.1), where the function β is really the γ-factor.
Now, Lorentz also used a form of the calculus and limits having to do with infinite series to arrive at his formula, but he used a much simpler method to do so. His method was easier because he imagined a compression of the aether (which was discussed earlier)4. The main point of the discussion, so far, has been to emphasize the use of the calculus and limits in the computation of the Lorentz transformation (whether by Einstein or Lorentz). My mentioning it, of course, portends to imply that I intend to point out some problems in doing so. This is, indeed, the case and will be taken-up later.
|
4. For comprehensive treatise' on both of these computations, please see the Reference section of this book under Einstein, Lorentz, Weyl, and Minkowski, The Principle of Relativity, which can be found in most libraries and bookstores. For Lorentz's computations, see pages 1-7 under Michelson's Interference Experiment, and for Einstein's computations, see pages 35-65 under On the Electrodynamics of Moving Bodies. |
Home Begin Preface Acknowledgements Contents Chapter 1 Chapter 2 Chapter 3 Chapter 4 Chapter 5 Chapter 6 Chapter 7 Chapter 8 Chapter 9 Chapter 10 Chapter 11 Chapter 12 Chapter 13 Chapter 14 Chapter 15 Chapter 16 Chapter 17 Chapter 18 Appendix A Appendix B1 Appendix B2 Appendix C1 Appendix C2 Appendix D Appendix E Appendix F Appendix G General References Future Books About the Front Cover About the Author Index